Current Developments in the World of Risers

New technologies, practices, computer modeling, and design may help to improve the methods for the condition assessment and management of life cycle for risers. As area of recent study has addressed methods to improve the prediction of the riser annulus environment.

ogf-2015-04-pipelineshero.jpg
The Blackbird Dolphin semisubmersible platform will be used in Chevron’s Alder field development, the first to use thermoplastic composite pipe in the UK North Sea.
Photo courtesy of Dolphin Drilling.

Risers are a crucial part of offshore exploration and production operations. As with other elements of an offshore project, operators are developing new technologies, practices, computer models, and designs to meet the challenges posed by the management of riser systems.

Here is a look at some of the ways in which companies are working to improve riser design and management. 

Riser Condition Assessment

A challenge facing flexible risers is the aggressive internal environments affecting fatigue and fracture performance, thus reducing the predicted service life. In addition, there is no generally accepted methodology agreed upon by flexible riser manufacturers and end users on how to calculate the composition of the annulus environment in a realistic way.

To help address these issues, a team at DNV GL has proposed a joint industry project (JIP) to predict the riser annulus environment.

This system would avoid overly conservative assessments by understanding and accurately calculating the annulus environment. It would also avoid premature riser replacement by improving the predictions of flexible riser fatigue design and fitness-for-service assessments.

The JIP would be part of a larger project to develop a comprehensive riser condition assessment method that was proposed last year. Colum Holtam, principal engineer at the materials and corrosion technology center of DNV GL, said the industry response to the proposal led to a narrowing of its immediate focus.

“Although [a condition assessment method] is still the overall goal, that’s kind of years out in the future,” Holtam said. “The feedback we got was that we needed to split it down into phases, and this is the first phase of that effective riser condition assessment approach.”

The JIP hopes to deliver a validated computer model that accurately predicts the annulus conditions of flexible risers transporting sour production fluids. This model will be used to define realistic environments, or environments that are not overly conservative, for the fatigue and fracture mechanics testing of armor wires.

“When you quantify the fatigue life of a flexible riser, you typically do it through fatigue testing of the armor wires; you don’t necessarily have to do a full-scale test on the flexible pipe. You can just do a small-scale fatigue test on the tensile armor wires, so our intention is to come up with a model that can predict project-specific environments,” Holtam said.

Another aspect of the testing that is being studied is an S-N analysis of corrosive environments that would adopt a fracture mechanics approach, thereby allowing for a testing on the growth rates of fatigue crack and fracture toughness of the armor wires.

If it is approved, the JIP would likely last 12 months. Holtam said the goal would be to develop a model and perform a small-scale validation. After that, the project would move to laboratory testing of a full-scale flexible pipe, followed by full-scale field trials.

Thermoplastic Composite Pipe

Airborne Oil and Gas has been working on a new class of flexible risers that may help operators handle the demands on production risers that come from deepwater exploration and field life extension. Called thermoplastic composite risers (TCR), they are made of high-strength continuous fibers and combined with a thermoplastic matrix to make them more flexible than other risers.

The TCR pipe technology (Fig. 1) has a higher allowable strain to failure than a thermoset composite, making it possible to produce spools of pipe without fatigue or cracking. Fibers are not placed in the axial direction, but in angles of approximately more than 30° relative to the long axis, thus enabling the pipe’s bending properties (Echtermeyer and Steuten 2013). It may be used at water depths downward to 3500 m (11,483 ft) and fits the following configurations:

  • Free-hanging catenary risers
  • Lazy wave risers
  • Steep wave risers
  • Multibore hybrid risers
  • Top tensioned risers (TTR)
ogf-2015-04-fig1pipelines.jpg
Fig. 1—Concept of a thermoplastic composite riser pipe. Source: Echtermeyer and Steuten 2013.

Airborne’s testing on TCR showed a significant reduction in top tensions and buoyancy requirements compared with a conventional rigid steel or steel-reinforced flexible pipe. In particular, the TCR showed a 90% reduction in top tensions versus steel case pipe. It also allows for simplified riser structures (Van Onna and O’Brien 2011).

The TCR design was spawned from a JIP sponsored by BP, Chevron, Shell, Statoil, Total, Petrobras, SBM Offshore, and the BG Group.

While a full TCR system has yet to be built, the technology behind it is being used on a project in the UK North Sea. Chevron awarded Airborne a contract to deliver high-pressure flexible jumpers for its Alder project. These are the first thermoplastic composite pipes to be used in the area.

Chevron sanctioned the Alder field project, which it co-owns with ConocoPhillips, in January last year. The project has a planned design capacity of 110 MMcf/D of natural gas and 14,000 B/D of condensate (Chevron 2014). The high-pressure flexible jumpers have been scheduled for installation in the summer and field production is scheduled to begin next year.

Riser Damping Model

2H Offshore developed a model for risers and conductors that it said captures amplitude-dependent structural damping more accurately than previous models.

The tests for the damping model were performed jointly with BP as part of a DeepStar JIP. They took place in 2010 and 2011 at the ExPert Riser Solutions facility in Port Fourchon, Louisiana, on the US Gulf of Mexico (GOM). The objectives of the test were to quantify and compare the structural damping of buoyant and bare pipe drilling riser joints, and to develop a guide for determining the values of structural damping in riser design and analysis.

ogf-2015-04-pix1-pipelines.jpg
Riser joints at the ExPert Riser Solutions facility in Port Fourchon, Louisiana, were used to test 2H Offshore's riser damping model. Source: Padelopoulos et al. 2012.

 

The tests used 50-ft-long Cameron Iron Works riser diameter joints with a 21⅝-in. wall thickness. A number of riser pipe configurations were tested to determine the effect of several of the following variables on structural damping:

  • Total length
  • Mode
  • Frequency
  • Choke and kill lines
  • Buoyancy modules

The test results showed noticeable levels of structural damping in buoyant joints, ranging from 2.5% to 3%. A wave fatigue analysis showed improvements in fatigue life with 2.5% structural damping. A typical steel pipe damping is approximately 0.3%. The fatigue improvement factor, which is a ratio of fatigue life with damping/fatigue life without damping, generally increased with water depth (Fig. 2). Drilling riser joints with buoyancy and choke and kill lines were not shown to have a high inherent damping, though Padelopoulos et al. (2012) noted that the tests were performed in air, and that lubrication from water may have reduced damping.

ogf-2015-04-fig2pipelines.jpg
Fig. 2—Test results for 2H Offshore's riser damping model showed that the fatigue improvement factor generally increased with water depth. Source: Padelopoulos et al. 2012.

Management of Life Cycle

Risers face tremendous stress in deepwater environments. A larger curvature can lead to potential wear problems. Severe currents can lead to a vortex-induced vibration of the riser, generating high fatigue damage in a short amount of time. High tension at the blowout preventer and the base of the riser can also compromise integrity.

General Electric (GE) is in the midst of a multiphase program aimed at creating a riser life cycle monitoring system (RLMS) to help operators better manage riser fatigue in deep water. The RLMS is an integrated system of hardware and software tools consisting of sensors located on select riser joints; wireless subsea communication between vessel and select instrumented risers; software for data collection, processing, riser fatigue analysis, and visualization; and alerts for enhanced operational decision making by contractors and operators.

The conventional approach for determining riser fatigue is by using a post-process analysis of data provided by remotely operated underwater vehicle systems; however, the systems provide limited information for a reliable fatigue model (Guzzo 2014).

The RLMS’ design uses subsystems with a high technology readiness level. The instrumented riser joint has motion sensors, and a radio frequency identification (RFID) system identifies life-limiting joints from staging platforms built up along the riser string. Each system has a read range of at least 18 in. and is built for handling subsea temperature and pressure. These sensors transmit analytic data to a receiver located on the vessel.

The readings are collected periodically—intervals range from every few minutes to each hour. Vortex-induced vibration analysis software, which already has stresses consistent with the acceleration histories, calculates fatigue damage rates and damage increments by using S-N curves associated with the riser joints. The levels of fatigue damage are then updated for each riser component and stored in a database.

The RFID system automates processes and enables analytic and riser pedigree within the RLMS. In the first phase of the project, the GE team performed a trade-off analysis of commercial off-the-shelf RFID technologies and selected two vendors for a lab testing of each system for capabilities and survivability. The subsea sensing and acoustic platforms attached along the various points of the riser will digitize and transmit acoustic data through a cable to fiber-optic instrumentation on the vessel.

A lab testing of the platform was performed with the Woods Hole Oceanographic Institution. The GE group identified and procured sensors and developed an initial plan for topside modem connectivity and data storage. It also designed the quality function deployment of the platform, enhancing it for customized app development. The rig scale testing was a collaboration between GE Global Research Brazil Technology Center and the Federal University of Rio de Janiero. 

Taking place this year, Phase 2 of the program consists of the customer field trial. GE hopes to translate the approach from Phase 1 into a full-scale pilot for an integrated deepwater riser integrity management system. The team will document the findings and results from its pilot and develop a production plan for technology transfer and commercialization. Technical reports from the field trials are due later this year.

After the field trials, a business model and cost/benefit analysis will be developed, during which the GE team will define an integrated generic solution for the industry. A commercially viable RLMS design should be completed by October.

Developed in 2010 and outlined in the recommended practice, DNV-RP-F101, DNV’s burst capacity model is now being used to determine the probability of failure for a corroded riser when tie-ins are added to the corresponding riser system. Adding tie-ins to an existing system may subject a riser to higher operating pressures, leading to the possibility of the riser bursting. Predicting how these risers handle the pressure increase may offer insights for operators (Carr 2014).

The probability of failure (POF) for a single defect is determined by using a combination of four variables. The first two are capacity equations, or equations used to calculate the probabilistic capacity for a single longitudinally oriented, rectangular corrosion defect:

ogf-2015-04-eq1pipelines.jpg

 -----(1)

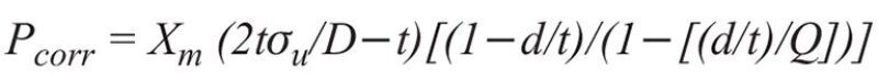
where Pcorr  is the applied differential pressure for the corroded riser, σu is the ultimate tensile strength of the riser, Xm is the modeling uncertainty factor, D is the outside diameter of the pipe, t is the actual wall thickness, and d/t is the actual relative corrosion depth, represented as a ratio of depth/actual wall thickness.

The second capacity equation explains the value of Q, the corrosion defect length factor:

 

ogf-2015-04-eq2pipelines.jpg

-----(2)

where L is the corrosion defect length.

The equations assume a rectangular defect shape. With an irregular shape, the maximum defect length and depth are used and the influence of the shape on capacity becomes an uncertainty included in the modeling uncertainty factor (Carr 2014).

The third variable is the limit state function, g(•), which is defined as follows:

 

ogf-2015-04-eq3pipelines.jpg

-----(3)

where pa is the applied pressure and failure occurs if g(•) is less than zero. The fourth variable is a representation of each uncertain variable with a probability distribution.

Computing the POF with a Monte Carlo simulation requires a high number of iterations (Carr 2014). Point estimates are made in each iteration for each uncertain input variable by sampling its probability distribution. After that, the point estimates and values of the constant parameters are put into the capacity equations and the limit state function to determine if a particular defect can lead to failure.

Peritus tested this methodology on a 30-year-old riser system on a manned platform in the UK North Sea as shown in Fig. 3. An inline inspection revealed severe corrosion in the riser, topside piping, and tie-in spool, and with new fields delivering additional fluid into the existing infrastructure, the riser’s operating pressure was expected to increase.  New topside pumps were capable of providing a maximum pressure of 134 bar, which was 25 bar above the riser’s original maximum allowable operating pressure.

ogf-2015-04-fig3pipelines.jpg
Fig. 3—A schematic of a riser system on which Peritus tested DNV GL's burst capacity model in the UK North Sea. Source: Carr 2014.

 

For the test, the riser system was split into the following three segments:

  • Topside piping from the pig trap to the topside emergency shutdown valve
  • The riser from the topside emergency shutdown valve to the riser base on the seabed
  • The tie-in spool from the riser base to the subsea isolation valve

An inline inspection survey revealed the system had 1,939 corrosion clusters, or equivalent single defects that represented either an isolated defect or several closely spaced interacting defects (Carr 2014). Peritus prototyped the Monte Carlo simulation program in the Mathcad software and reprogrammed it in Delphi, an implementation of the Pascal computer language. The Delphi program extracts the necessary data for each defect from a database.

Fig. 4 shows the POF per overpressure event of each segment of the riser and the entire riser as a function of time for the baseline estimated corrosion rate of 0.11 mm/yr. Fig. 5 shows the POF for the sensitive corrosion rate of an aggressive estimated corrosion rate of 0.24 mm/yr. Despite the facility falling within DNV’s “high” safety class, the analysis showed the riser system could not meet the target POF of 10-5 per event to satisfy the criterion for avoiding failure. This led to the installation of a safety instrumented pressure protection system to limit the frequency of overpressure events (Carr 2014).

ogf-2015-04-fig4pipelines.jpg
Fig. 4—Probability of failure for a riser system and segments with an assumed corrosion rate of 0.11 mm/yr. Source: Carr 2014.

 

ogf-2015-04-fig5pipelines.jpg
Fig. 5—Probability of failure for a riser system and segmentswith an assumed corrosion rate of 0.24 mm/yr. Source: Carr 2014.

 

High-Motion Vessels

Another factor that may affect the performance of a riser system over its lifetime is the motion created by the vessel to which it is attached. The most common riser concept used in the industry, the steel catenary riser, does not meet performance criteria when used with high-motion vessels.

Stress Engineering Services is developing an alternative riser arrangement to meet the demands of high-motion vessels, for example, by using conventional semisubmersibles and ship-shaped floating, production, storage, and offloading (FPSO) units in water depths approaching 10,000 ft. It hopes to find a concept that will isolate the touchdown zone from the motions coming from the riser at the attachment point on the host vessel.

A riser analysis was performed primarily with Stress’ proprietary software program called Rational Approach to Marine Systems, which the company had previously used in all phases of project design from concept selection to operation. The software performs dynamic analyses of marine systems with regard to time and frequency.

The analyses were performed with riser concepts attached to a conventional semisubmersible and a turret-moored FPSO, both of which are considered suitable for use in the GOM. However, their shallow keels lead to relatively high heave motion, and pitch and roll motion. Heave motion is a major problem in the touchdown region of catenary risers, and pitch and roll motion affects the strength and fatigue performance at the top of a riser, where it connects to the host vessel (Stress Engineering 2014).

Stress used different approaches in arranging the model risers with respect to the host vessel and its environment. It tested the steel lazy wave riser as an alternative to the steel catenary riser for conventional semisubmersible platforms. For the FPSO, the company looked at three concepts:

  • Steep wave risers with lightweight insulation made of interior diameter clad steel pipe or duplex stainless steel pipe
  • Tension leg risers
  • Hybrid riser towers

Stress performed its initial study using a semisubmersible hull arrangement with four columns and four pontoons. The study assumed that the riser was hung from a point along the outside of the pontoon, and the riser was modeled such that the riser heading was perpendicular to the pontoon. The lateral distance from the center of the hull to the riser’s hang-off location was set to 100 ft.

The testing took into account the potential motion caused by extreme weather. Tables 1 and 2 show the results for each riser concept. The six degrees of freedom that typically define vessel motion were reduced to a planar description listed in Tables 1 and 2. The vessel offset is a combination of surge and sway, the vessel heel angle is the combined roll and pitch, and yaw was not reported because it was minimal for the semisubmersible and the FPSO rotates freely around the turret.

ogf-2015-04-tab1pipelines.jpg
Table 1—A summary of the motions of semisubmersibles in extreme storm events.
ogf-2015-04-tab2pipelines.jpg
Table 2—A summary of the motions of floating production, storage, and offloading vesselsin extreme storm events.

 

The strength analysis summary showed that all but one concept passed the test for the FPSO. The titanium catenary riser concept failed because the motion of the FPSO was too great for the configuration. The primary problem was the occasional high bending of the riser that occurred during compression in the lower portion of the conduit. Also, the riser with 3.5 in. of insulation was so light and the FPSO’s heave motion was so intense that the test results predicted the riser would go slack even in a 100-year winter storm. These results eliminated the titanium catenary riser from further consideration.

For the steel lazy wave riser, the analysis revealed that the wave shape made by the distributed buoyancy isolated the lower riser from the effects of the host vessel’s motion. The steel catenary riser, in contrast, had dynamic tension variations in the bottom of the riser 10 times greater than that of the steel lazy wave riser (Stress Engineering 2014).

As part of the program, Stress aims to identify and address technology gaps in the development of riser concepts. The gaps are as follows:

  • External insulation material for high temperature service (>300°F)
  • Turret swivel capable of withstanding internal pressure approaching 20,000 psi
  • Proven corrosion inhibitor methodology for 20,000 psi
  • and 350°F
  • Riser-base flow path components capable of
  • containing internal pressure of 20,000 psi
  • Use of captive turret FPSO in the GOM
  • Use of composite-reinforced pipe as a production riser
  • Offshore welding of titanium

Begun in September 2012, the project is scheduled to end this year. 

 

For Further Reading

ISOPE-I 12-228 Drilling Riser Structural Damping Test by P. Padelopoulos and M. Ritchie, 2H Offshore, et al.

OTC 24095 Thermoplastic Composite Riser Guidance Note by A.T. Echtermeyer, Havsterna, and B. Steuten, Airborne Oil and Gas.

OTC 24946 Riser and Pipeline Corrosion Risk Assessment by P. Carr, Peritus.

OTC 25297 Assessment of Ultra Deepwater Riser Concepts for High-Motion Vessels by B.S. Royer, T.L. Power, D.O. Ayewah, Stress Engineering, et al.

Airborne Oil and Gas. 2014. Chevron North Sea Limited Awards Contract for Jumpers. http://airborne-oilandgas.com/chevron-north-sea-limited-award-jumpers-contract-airborne-oil-gas/ (accessed 9 March 2015).

Chevron. 2014. Chevron Makes Final Investment Decision on Alder Field in the United Kingdom. (accessed 10 March 2015).

DNV-RP-F101, Recommended Practice: Corroded Pipelines. 2010. Oslo: DNV.

Guzzo, J. 2014. Riser Lifecycle Monitoring System (RLMS) for Integrity Management. Presented at the Ultra-Deepwater Floating Facilities, Risers & Systems Engineering Technical Advisory Committee meeting, Sugar Land, Texas, 5 June. (accessed 17 February 2015).

Stress Engineering. 2014. Riser Concept Analysis and Recommendation Report. Final report, Subcontract No. 10121-4401-02, Research Partnership to Secure Energy for America, Houston, Texas. (accessed 24 February 2015).

Van Onna, M. and O’Brien, P. 2011. A New Thermodynamic Composite Riser for Deepwater Application.
(accessed 9 March 2015).